2020-07-03 13:09:24 来源: 财经新闻网

记者 | 吴琼 编辑 | 彭洁云
1
信托项目近年来时有“暴雷”,个人或机构投资人通常会采用多种方式追索自己的合法利益。而在与中粮信托合作的信托计划中产生巨亏的度小满金融,却不得不自己垫资兑付用户,甚至隐姓埋名进行维权。这家互联网金融巨头为何敢怒不敢言,要打碎牙往肚里咽?
界面新闻近日独家获悉,因一笔已逾期一年多的信托计划迟迟不能兑付,度小满金融(原“百度金融”)与中粮信托多番暗战后,仍无法摆脱僵局。
“重点不是兑付”
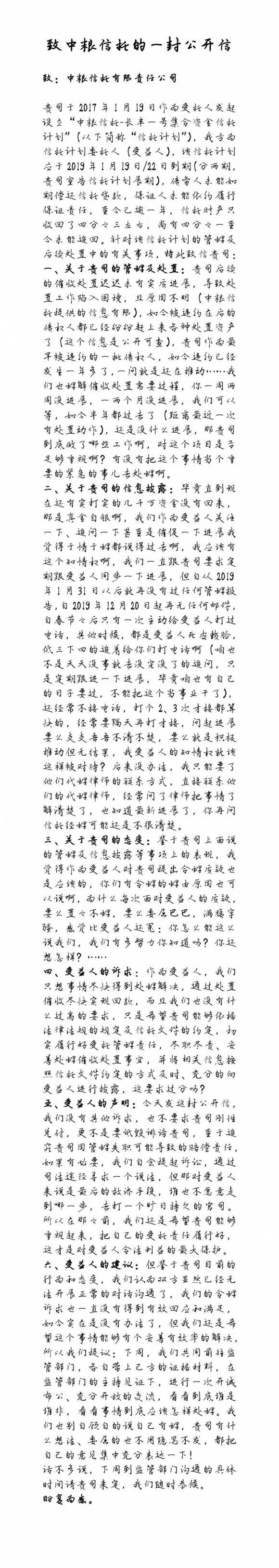
2019年3月,有自媒体发布“致中粮信托的一封信”。文章以信托计划受益人的第一人称身份,向中粮信托提出六点声明,就中粮信托“长丰一号”信托计划逾期,信托财产未能全数追回一事,质问中粮信托何以催收没有进展、何以作为最早被违约的债权人却未及时处置资产、何以不及时与受益人沟通、公开管理报告。
信中还提出,希望与中粮信托一起赴监管部门沟通解决,有必要的话将诉讼追究中粮信托管理失职。

界面新闻从多位知情人士处确认,这封没有落款的信背后是百度旗下的度小满金融。
中粮信托方面并没有公开回应这封公开信。界面新闻了解到,中粮信托时任首席风险官兼副总经理李永东、总经理兼董事吴浩军曾在公司内部表态,度小满金融不是该信托计划的委托人,而是通过申银万国作为委托人购买的该信托计划。因此,与度小满金融沟通的重点应该是度小满金融员工侵权发布信息,“资金兑付不是重点”。
界面新闻记者获得的资料显示,2017年1月19日,中粮信托有限责任公司(下称“中粮信托”)作为受托人发起设立“中粮信托·长丰一号集合资金信托计划”(下称“长丰一号”),信托期限为2年,规模2亿元,分两期(2017年1月19日和22日)成立。招商银行北京分行为该信托计划信托财产的保管人。


根据信托计划书,长丰一号资金向河南省宋河酒业股份有限公司(下称“宋河酒业”)发放信托贷款,用于其日常经营。
长丰一号这一集合信托计划事实上仅有一个机构投资人。项目成立之时,度小满金融通过申银万国证券作为委托人,购买了这一信托计划,后作为自己的产品发售。根据《信托公司集合资金信托计划管理办法》,集合资金信托计划,是信托公司将两个以上(含两个)委托人交付的资金进行集中管理、运用或处分的资金信托业务活动。
截至目前,两个亿的信托资金,仅追回一亿五千万余,剩下的约1/4则由度小满金融自掏腰包兑付给了投资人。
“给用户百分之百兑付了,对中粮信托还要继续追索损失,但是基本没有进展,对方百般推脱”,知情人士表示。
“迟钝”的债权人
中粮信托·长丰一号在成立一年后,项目方宋河酒业及其控股股东辅仁药业(*ST辅仁 600781.SH)就陷入了困境。公司相继爆出欠薪、数十亿的融资租赁借款、巨额对外担保,其后又被上交所问询,最终无力兑付。
根据辅仁药业年报,截至2019年12月31日,年末资产总计1,173,598.97万元,年末负债589,055.06万元。累计被冻结股份数量282,403,538股,占公司总股本比例为45.03%, 占辅仁集团持有公司股份比例为100%,且存在多次轮候冻结情形。
界面新闻根据诉讼公开信息整理发现,辅仁药业的核心资产宋河酒业涉及的诉讼、执行案件逾40件、涉及金额超14亿元,包括企业借款、融资租赁、银行借款、票据、民间借贷。涉及机构包括微众银行、渤海银行、中原银行、兴业银行、郑州银行、浦发银行、光大银行广发银行、建设银行、中信银行、农业银行等等。
根据天眼查上宋河酒业7月2日的《企业信用报告》,该公司2019年5月7日至今共有24条失信信息,全部未履行。2019年1月10日,朱文臣所持有的3446.996万宋河酒业股权已被司法冻结。
而在此阶段中,中粮信托并未依《信托贷款合同》宣布长丰一号项目提前到期,亦并未及时做出恰当的风险管理动作。
中粮信托内部人士告诉界面新闻记者,长丰一号项目成立时,中粮信托作为贷款人,与借款人宋河酒业、保证人辅仁药业(即宋河酒业的控股股东),以及辅仁药业法人朱文臣,签署了《信托贷款合同》、《保证合同》,并与宋河酒业签署了《动产抵押合同》。宋河酒业将其所有的若干国字宋河九号散酒作为抵押物为该贷款合同提供抵押担保,2016年底的第三方评估报告显示,评估价为5.59亿元。该信托计划在成立时同时办理了强制执行公证。
根据中粮信托2019年年报及知情人士透露,直至项目已经到期,借款人出现违约,中粮信托才启动风险应急处理,在信托计划自动延期的情况下,中粮信托于2月底才向法院递交强制执行申请材料,北京市第二中级人民法院于2019年3月6日出具执行裁定书,而此时,距离长丰一号项目违约已过去一个多月。
此后,中粮信托并未如其他“踩雷”宋河酒业的金融机构一样,积极向法院申请对辅仁药业的股票及资产进行查封冻结措施,直到4月19日才完成辅仁药业700万股股票的司法冻结。6月底,该700万股股票评估价值7805万元,10月和11月,该笔股票两次流拍。根据北京市二中院公告,2020年7月13日将对这700万股股票第三次司法拍卖,参考价仅为2835万元。
不良率高达35%
中粮信托2009年7月1日获批开业,注册资本23亿元。2012年成功引进战略投资者加拿大蒙特利尔银行。目前,公司股东架构为中粮资本投资有限公司持股76.0095%;蒙特利尔银行持股19.99%;中粮财务有限责任公司持股4.0005%。
2019年10月,中原特钢宣布公司重大资产重组完成,中粮资本已成为公司全资子公司,下属的信托等金融业务亦已成为公司的主营业务,中粮信托借道上市。
虽然费劲力气实现了曲线上市,这两年中粮信托的日子也并不好过。
“中科建飞、东方金钰、凯迪生态、龙力生物、精功集团、中青旅实业……都是死得透透的企业,没办法化解。中粮虽然是央企信托,但是资产质量并不好,风格又太激进”,中粮信托一位老员工如是说。
从2019年财报来看,中粮信托2019年营收5.14亿元,净利润1.26亿元。而在营收中,投资收益5.81亿元,手续费及佣金净收入仅为3.47亿元。
资产质量方面,中粮信托2019年不良合计19.59亿元,比年初增加15.20亿元,增幅346.60%;不良率高达35.48%。
中粮信托在年报中表示报告期内公司信用风险管控压力较往年有所增加,原因在于2019年宏观经济形势和金融市场复杂多变,实体经济面临供给侧改革和去杠杆的压力,金融行业面临去杠杆和强化监管的环境,风险事件多发,信托行业面临的信用风险不断加大。
有多位中粮信托老员工对界面新闻记者坦承,“2018年政策收紧,此前几年做的很多项目,风控做得并不好,后期就集中暴雷了”,“中粮做很多项目的时候,企业当时已经有很多负面,比如中科系、六盘水和遵义道桥”。
“风控是很大的问题,尽调和贷后管理不能形同虚设,信托贷款不应该是‘无还本续贷’,给点儿利息就行,”一位中粮信托工作人员说道,“我们都在猜中粮的下一个‘雷’是什么。”

责任编辑:唐婧